
For he that shall have borne the battle bobble head doll
At some point in our travails with the Veterans Administration, we reach a divide-a schism so vast, so impenetrable-that we suddenly realize we are dealing with mental midgets. We become cognizant of the fact we no longer are in Kansas and Toto is only a faint memory. I reached that point on Wednesday.
As I have reported here, my adventures in VAland appeared to be on track for a quick resolution and a grand finale this week. Would that it were so and I could report as much back to you. I can finally commiserate with Ric Shinseki and the predicament he found himself in when he discovered his minions were doing their best bobblehead doll imitations and ignoring him.
Having briefed the Seattle RO’s designated complaints officer on where to look and how to fix it, I sat back with that utter assurance born of false confidence that I had finally accomplished what no other mortal had been able to do these last twenty plus years-complete my VA claims. Rude awakenings are just that. The ultimate bitchslap, just when you thought everyone was going to make nice, always comes as a surprise. Although I wasn’t prepared for it, I can say with aplomb that I was not blindsided. After this many disappointments, it was to be expected. I just didn’t think it would arrive in a format that would be so easy to overcome.
The VARO weenies are finally desperate. Left with few fig leaves to hide behind, they are finally resorting to the Clinton defense of “Well, I reckon that all depends on what the meaning of totally disabled is.” They appear to be mustering their forces for that last ride into Medicine Tail Coulee to join Colonel (Brevet Maj. General) Custer on the hill. Today I will report back to “Bob” McDonald that his new initiative of glasnost and perestroika has not percolated down to the rank and file in his far-flung empire. Bad habits die hard. I strongly suspect the culprit is the M21-1MR Manual on VA denials.
This morning dawned and Procol Harem’s venerable song came to me as the perfect description of what we, as Vets, have come to expect from VA-lip service.
And likewise if behind is in front
Then dirt in truth is clean
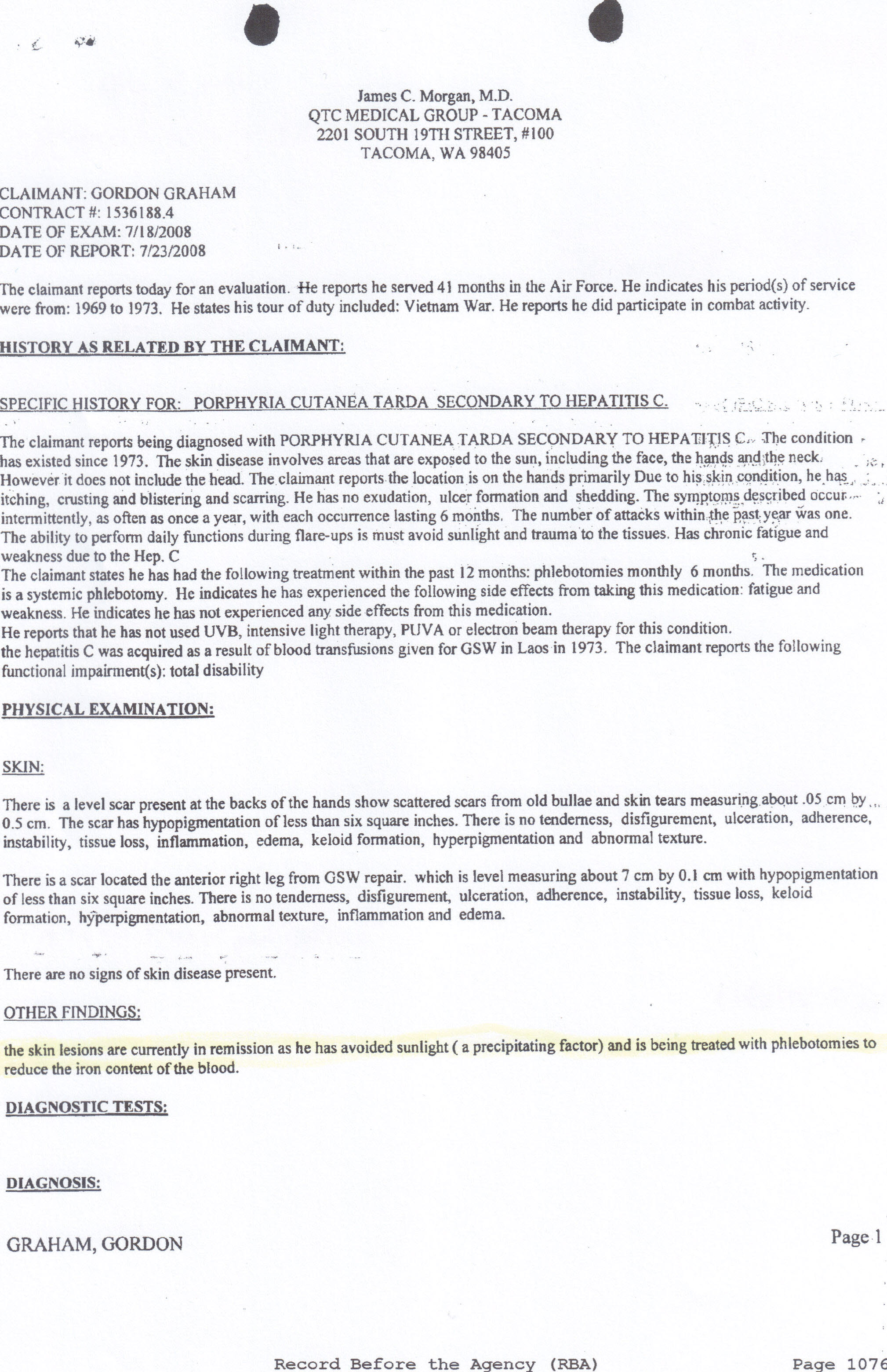
To illustrate, check this out. I spotted it deep into a CUE claim to right the wrong perpetrated when I was an inpatient for a year at the Seattle VAMC. I was not given time to file a Form 9 in a timely manner to keep my Porphyria claim alive. I finally filed a CUE claim to right the wrong. It took several years (from October 2011) to get here. They lost it for a year to begin with. My green card was the only way to prove I wasn’t lying about it.
When a government agency determines you are “totally disabled”, you assume the term means what it implies. I’ll make the documents below .jpg photographs and squander scarce gigabytes to let you enlarge it by clicking on it for easier viewing.


The little black holes on the top identify these as coming from my paper c-file which has not made the trip to the cheeseheads in Janesville, Wisconsin to be electronically digitalized yet. Due to budget shortfalls, the sheer volume and its weight (approx. 28 lbs.), VA has neglected to “VBMS” it to date. You can sort of understand that. VA bonuses to their Senior Executive Service (SES) for ignoring Vets’ pleas for medical appointments take precedence over mundane paper problems.
Now let’s examine what the Ratings Rangers at Fort Fumble were able to make of this revelation. This is the last four pages of the SOC where all the meat is. As a preamble, I defer to VA’s preferred Merriam Webster Dictionary definition of “totally disabled”:
: incapacity to perform the duties of any substantially gainful occupation either permanently or temporarily due to accident or illness
And now the VA definition according to the DROracle at Delphi in Seattle. Put your cursor on it and left click to magnify. If you’re really blind, click again.




And here all this time you thought you were playing on a level field where the benefit of the doubt was always proffered, where nonadversarial was a given and modus vivendi was the order of the day. Not. Were that the case we’d have no need of rainmakers.
The VARO weenies cannot bring themselves to admit they stepped on their necktie. Just because a stupid doctor let the cat out of the bag in 2008 and a Veteran was smart enough to spot it does not mean they have to throw in the towel. Knowing full well they can send this up to the BVA in Washington DC for appeal and a three-year delay gives them great pleasure. Having already spent twenty years, six months and ten days on it, what the hey? What’s another decade in the scheme of things? Veterans have shit for brains. And VA looks at us with the thousand yard stare and asks “Why do they insist on that inane phrase-‘delay, deny until we die’ thing?”
Here is proof positive that the General George Armstrong Custer gene is alive and well on the 11th floor of the Henry M. Jackson Federal Building. Seattle’s Puzzle Palace is prepared to die on this hill knowing full well that when it is finally overturned and justice prevails that they will suffer no consequences. This is the very same mindset that VISN directors suffer. They think no one will notice Vets keeling over on their watch as they greedily collect their $28,000 annual bonuses for efficiently doing away with them.
Secretary McDonald was true to his word. He handed this to a staff attorney at the BVA who analyzed it and agreed with me that yes, totally disabled means totally disabled. The snafu occurred when BVA handed it off to the gomers in Seattle. No one wants to earn the sobriquet of screwup. No one wants to find his picture in the Merriam Webster dictionary under stupid. The approbation of fellow raters is anathema to these folks apparently. So in a last-ditch attempt to justify their actions, they are attempting to redefine totally disabled to mean-well- we’re not certain here. They attempt to conflate it with the second half of 38 CFR §4.15:
The following will be considered to be permanent total disability: the permanent loss of the use of both hands, or of both feet, or of one hand and one foot, or of the sight of both eyes, or becoming permanently helpless or permanently bedridden.
In order to reach this epiphany, they have to step over their own definition in the first part of §4.15:
The ability to overcome the handicap of disability varies widely among individuals. The (totally disabled) rating, however, is based primarily upon the average impairment in earning capacity, that is, upon the economic or industrial handicap which must be overcome and not from individual success in overcoming it. However, full consideration must be given to unusual physical or mental effects in individual cases, to peculiar effects of occupational activities, to defects in physical or mental endowment preventing the usual amount of success in overcoming the handicap of disability and to the effect of combinations of disability.
Total disability will be considered to exist when there is present any impairment of mind or body which is sufficient to render it impossible for the average person to follow a substantially gainful occupation; Provided, That permanent total disability shall be taken to exist when the impairment is reasonably certain to continue throughout the life of the disabled person.
Most Vets and their attorneys would read this to say you are 40% disabled due to an occasional bloodletting and staying in the shade. Jones v. Shinseki says you cannot base a rating on the “new improved version” due to the therapy or prophylaxis. VA is looking at it and saying “Gee, the way to 100% is to quit the phlebotomies and start hitting the tanning salon every day.” Of course that will have some dire complications involving death but that is the path to 100% for this dilemma in their book.

Totally disabled Vets soon to be downgraded to 60% due to new VA ruling
Perhaps of even more concern, according to this Seattle DRO, all you folks out there with PTSD who are not suffering the permanent loss of use of both hands, or of both feet, or of one hand and one foot, or of the sight of both eyes, or becoming permanently helpless or permanently bedridden are now put on notice that you are up shit creek. You are not totally disabled according to this logic from this day forward.
Now, I do not for a minute think this will stand up in Court at the CAVC but I do not know if I’ll be alive to celebrate. I think I’ll send it to Secretary McDonald so he can chew on it and decide. Perhaps one of his weenies will send it to Richard Griffin over to the VA’s Office of Inspector General and they can determine that:
“We were unable to substantiate that being totally disabled, in the VA vernacular, was actually a physical or mental state of being that prevents gainful employment but we haven’t sent our opinion over to USB Allison “in Wonderland”Hickey yet for approval. We await her final say on this before we commit to shooting ourselves in the foot (again).”
I expect Secretary McDonald will have a few choice words about it but then Cupcake and I were ebullient when we walked out of my BVA Veterans Law Judge Board hearing on April 11th, 2011. Judge (and I am being generous in using that term) Mark Hindin looked us in the eye and said “Your case is pretty clear cut and you did a great job presenting it. I’m confident we’ll get it straightened out.”
I pray that if Secretary McDonald has any say about it this time, it will be rectified promptly. In the alternative, allowing the little people with Flat Earth Society credentials to adjudicate it will only result in more delay and denial all the way to the Court. This is exactly what I hoped to avoid. My letter to Secretary McDonald follows:
Rebuttal to Secretary McDonald PDF version
P.S. A law dog (#1) just emailed me and asked the burning question: If you cannot get to 100% (totally disabled) via Porphyria correctly granted at 0% under Diagnostic Code 7815, and you cannot get to 100% for phlebotomies under Diagnostic Code 7704 correctly granted at 40% (without pyramiding), how do you get to the 100% accorded by the good doctor’s nexus? Answer? Extraschedular rating but VA nixed that idea in the SOC, too. And, knowing you cannot, how many other ratings enigmas await us in the Diagnostic Codes? Using this logic, VA can now go through VAROs and reduce TDIUs at a wholesale clip. Back injuries top out at 60%. Sorry GI. You are not totally disabled. You are at 60%. There is no provision for 100% in back injuries therefore you cannot be totally disabled. Besides, you aren’t missing any hands or feet.
Law dog #2 says a skin rating under 38 CFR § 4.118 diagnostic Code 7815 Schedule of ratings-Skin in no way pyramids or conflicts with a rating under 38 CFR § 4.117- Hemic and Lymphatic systems Diagnostic Code 7704 Polycythemia Vera. Result? 40% +10% = 50% rating. Still leaves us short 50%.
Law dog #3 says Jones v. Shinseki and Otero-Castro v. Shinseki control. They must grant the 100% and pick any 100% rating they want to as a vehicle to get there. Which one is immaterial as long as it grants 100%. Either that or they must CUE themselves and say Doctor James Morgan had the vapors that hot, summer day in 2008 and misspoke. But Russell precedence overrules them because a mere disagreement over the facts or the diagnosis can never be grounds for CUE. Besides, they cannot prove it would manifestly have changed the outcome (10%). Hoist on their own pétard as it were.