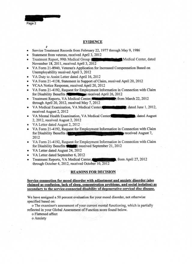
As you may remember, we left Squidly in the last chapter attempting to fight his VARO to let him in the front door. This has been a long battle. The squidster’s up to it though. Armed to the teeth with the sure knowledge we put up here, he held his ground and got the next big bite of the apple. vA is not giving up gracefully on this and we suspected they wouldn’t. Every experience is like pulling teeth out of live alligators.
So it is with great pleasure that we (he, actually) announce the recent correspondence he received from Uncle Eric and the gang. Trust me, it’s all good news and another step in the right direction towards the inevitable. Good job, Squidster.
80% and counting. We’ll keep you apprised of the 100% party. Remember, the Squidmeister still hasn’t gotten his HCV rating for EMG needles yet. That may be the straw that breaks the TDIU back or even 100% schedular. What’s more, it appears the long-lost c-file San Diego managed to misplace has now made an immaculate reincarnation suddenly at his local RO. The Catholic Church doesn’t have anything on these guys. They make Houdini look like a bozo. But then, so does Squidly.







Hoping for an HCV win for you too.
Good job and great news. Give em hell Squid!