Now that Squidlyone has partially prevailed at the VARO without having to go to D.C., let’s take a peak under the curtain and see what’s up. As we all know, vA usually goes through the motions of telling you what a valuable service your have performed for your country just before they slam the door shut in your face. That’s right. The very Administration erected and created specifically for 8% of its “special needs citizens” spends an inordinate amount of time disenfranchising the very ones they are employed to help. You can almost hear Gomer Pyle’s Surprise, surprise, surprise.
vA is renowned for handing out NSC pensions to those who have fought in wars and have medical woes unrelated to their service. This is a substitute for SSI/SSD. One cannot collect both. While the pension is generally more lucrative than the SSI, the fact remains its either one or the other, but not both. Therefore, in truth, the government is not exhibiting largesse but just a different paycheck from the same pile of money-your taxes.
On the other hand is compensation. This is the Holy Grail that eludes so many. It is the reason for this site. Were it fair and balanced as claimed, there wouldn’t be so much dissension. Veterans with legitimate medical conditions, or risks from service, are entitled to compensation for same. It should not take a lifetime of litigation to get there but it does. Interestingly, the veterans Administration takes the position that you are the problem-i.e. you haven’t provided the proper documentation or worse, it’s been lost. But what of the bitch slap that Squid received?
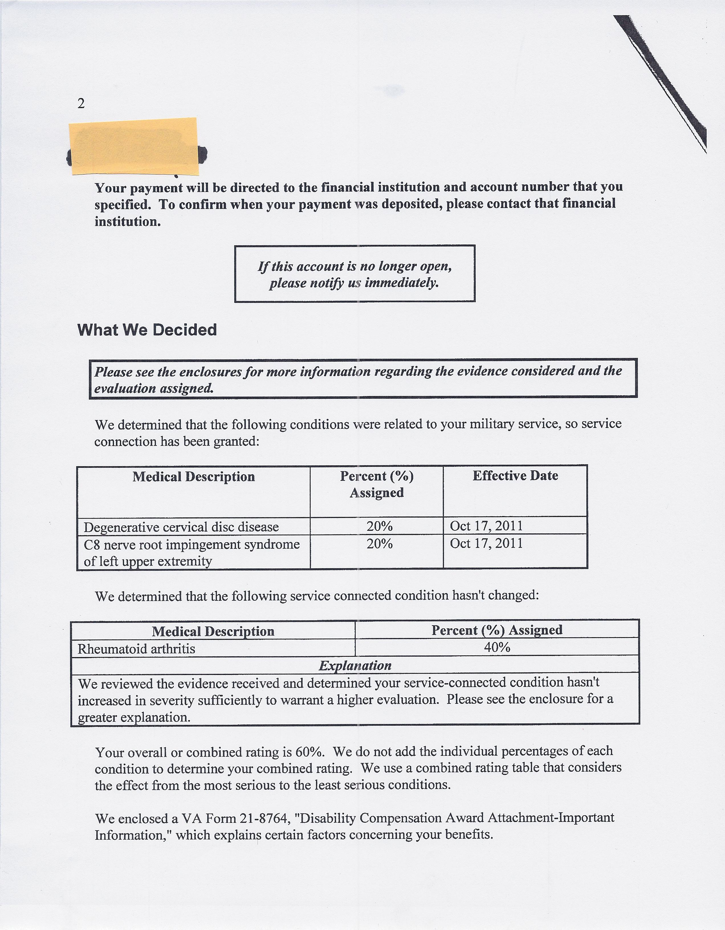
Squid filed over twenty years ago for Rheumatoid Arthritis. It’s not his diagnosis. It’s the moniker that vA hung on him. He had no medical training. He simply walked in and said “Yo. It hurts here and here.” I’m sure they tried their damnest to find a way to deny. There must have been (and we know this from him) a substantive body of evidence to support his contentions. It was clearly documented in his SMRs. Hold on to your hats-its the reason he was discharged! Unfortunately its now 2012 and those records “have been misplaced”. But. But because he really doesn’t suffer from RA, it’s no big deal because its moot.
Squid filed for an increase on this plus a few neck issues like falling down when you turn your head to the left, and becoming so dizzy as to be unable to function. He also filed for Hepatitis C which brought him to us. We’ve been yacking it up and partying on a fairly regular basis just like all druggie heppers do ever since. vA recognizes this and promptly denied him on the hep. They deferred on these other items for a while in hopes that the hep would run it’s course and Squid would turn room temperature. He didn’t. He came close but he’s tougher than three year old bubblegum up under a school desk. Suddenly Squid pops up with the EMG records. vA promptly circled the wagons.
Squid wisely kept plodding along with and without the help of a dysfunctional VSO system that gave him little or no support. He filed his NOD when it appeared there was no chance in Hell of getting anything other than the standard “Thank you so much for your service to America”. He indicated in no uncertain terms that he was not one of those who were going to go quietly into the night and give up.
vA looked at the 40% that Squid had already racked up and wondered how to strip him of it. By losing his records, if that’s what happened, they had artificially deprived themselves of the opportunity to do so. Imagine everyone”s C-files at the RO having one of those pop-up doomoflotchies like the ones on Butterball Turkeys. They pop out right before ten years goes by and automatically schedule a C&P to determine if your conditions have improved. By extension, if you were accidentally rated under the wrong DC, they can remove it for that reason, too. In it’s place they usually rerate and low ball you requiring a new litigation process followed by years of appeals to regain that percentage which you used to have. Here, Squid was bulletproof but that didn’t stop them from eyeing it from every angle for some flaw-even fraud- in an attempt to dislodge it.
With the new evidence he had showing the EMG tests, vA was hardly in a position to deny for the rest of the back disorders. Hell, the medrecs were dispositive in that regard. What is disgusting is that vA would search high and low for a way to, in essence, toss out the RA and substitute the new ratings in their place. They waited too long. There’s a statute of limitations for vA necktie parties and vA blew it. This says it all:
During you vA examination, your examiner opined that it is less likely that you have RA and was unable to provide a diagnosis due to your absence of physical findings and negative testing…
Less likely is a finding as in ” you do not have RA”. Now, stay with our bottle rocket scientist:
Since you have been service connected for this condition for over twenty years, we are unable to sever or reduce your current evaluation for this disability. However, based on the findings of your vA examination, the assigned 40% evaluation for this disability is the maximum schedular evaluation that can be assigned.
What is this? Squid doesn’t have RA, and we can’t take it away, but 40% is all we can give you for this based on the DC and Part 4 of 38CFR. We’d dearly love to jerk it out from underneath him, but the damn laws have tied our hands. It’s unfair, but that’s what Congress has foolishly allowed.
I have communicated for over a year with this man and he is not one to game the system. His symptoms of back pain and the like have increased exponentially over this time and vA still treats him like an interloper. If you turned your head to the right too far and it caused you to lose your balance and fall flat on your ass, causing injury, wouldn’t that be a little more than “mild incomplete paralysis of the minor extremity”? We won’t even talk about pain and weakness. VA did not address 38 CFR §§ 4.40 and 4.45, or, as vA chose to say, “having considered it and deciding that you’re ready to run the Boise to Portland Triathelon, it is not for application.” That’s not much of a analysis.
This is standard fair for vA. They read medical records slightly differently from the way we do. A doctor reading the Squidly file would come to the conclusion that he’s 100% disabled due to near constant debilitating symptoms of HCV with an ALT over 500 and the AST just a whoop and a holler less. In addition, he has major back and neck problems that also render him unable to work . All in all, Squidly diddley is beginning to resemble Humpty Dumpty and there’s not enough Gorilla® glue in the universe to fix this.
On the other hand, we have a vA “examiner”. If you walked into an RO and shouted at the top of your lungs: “Will the vA examiners here please raise your hands?” do you think you’d see any? No sir. I’ve never been able to see or talk to one. I’m sure they exist like Bigfoot but I just haven’t seen one. Examiner may be in the plural, too. This mythological examiner will examine the pile of evidence in reverse. Starting with the assumption that you are 100% in body and mind, he/she (they?) proceed apace. The twenty year old 40% thingie is tossed out. That’s an aberration and they are stuck with it. He doesn’t have it so it is not a true debility.So, you now have the lowest possible rating they can get for the cervical bummer without appearing to be too harsh. “Hey! Yoo-hoo? Hello? He walked in here , he didn’t crawl. He wasn’t in a wheel chair and as far as we know this may be acute.” They don’t give away the farm on the first hand of vA Poker. Same for the nerve impingement thing. 20% is all they’re going to ante with.
Now, what about the HCV? Pretty grim prognosis with Stage 4 in sight. Well, that’s the problem and because he isn’t rated for that, he does not, in vA’s eyes, “have” it in the sense that vA owns it. Therefore it has nothing to do with this conversation or rating. Unless… you also ask to make this a claim for vA pension as well. If you get the pension, you’ll die before you ever get the thing rated. Squid didn’t. Therefore they cannot and will not talk about TDIU because they have carefully contrived the combined percentages to arrive at 60 rather than 70%. That’s rude, crude and unattractive, not to mention boorish. It shows a poor upbringing or a pattern of biased vA rating and deceit. Either way, there’s no polite name for people who do that.
So, with there being no reason for a TDIU discusion, they must put paid to the extraschedular possibilities. Since all extraschedular exceptions must be granted by one guy at the Compensation & Pension Services, you can kiss that puppy goodnight. That’s just for show anyway. I’ve never seen one granted. But what’s this? After searching high and low on the whole rating there is no mention of extraschedular or TDIU either. The law is very precise on this and vA is purposefully ignoring it. By omitting this, vA has left open a reason for remand to consider these two items at the AOJ in the future. Slippery raters examiners.
The door is left open for Squid to go through about another 6 months of hell until vA caves in and does this:
CFR398—-http://www.law.cornell.edu/cfr/text/38/4/71a
Addditionally a higher evaluation of 40% is not warranted unless there is invertebral disc syndrome (IVDS) with incapacitating episodes having a total duration of at least four weeks but less than six weeks during the last six months.
Well, what do we have here? Sound familiar? You notice right off the bat they aren’t volunteering what Diagnostic Code they’re using so that Squid could even know what 60% entails. I’m going out on a limb and guess they’re using the same formulary as the hepatitis progression-i.e. 60% for incapacitating episodes having a total duration of six weeks or more but not near constant. And voilá. Done:
DC 5243 Intervertebral disc syndrome
Evaluate intervertebral disc syndrome (preoperatively or postoperatively) either under the General Rating Formula for Diseases and Injuries of the Spine or under the Formula for Rating Intervertebral Disc Syndrome Based on Incapacitating Episodes, whichever method results in the higher evaluation when all disabilities are combined under § 4.25 .
With incapacitating episodes having a total duration of at least 6 weeks during the past 12 months—————60
With incapacitating episodes having a total duration of at least 4 weeks but less than 6 weeks during the past 12 months——-40
With incapacitating episodes having a total duration of at least 2 weeks but less than 4 weeks during the past 12 months—–20
With incapacitating episodes having a total duration of at least one week but less than 2 weeks during the past 12 months—10
Note (1): For purposes of evaluations under diagnostic code 5243, an incapacitating episode is a period of acute signs and symptoms due to intervertebral disc syndrome that requires bed rest prescribed by a physician and treatment by a physician.
Note (2): If intervertebral disc syndrome is present in more than one spinal segment, provided that the effects in each spinal segment are clearly distinct, evaluate each segment on the basis of incapacitating episodes or under the General Rating Formula for Diseases and Injuries of the Spine, whichever method results in a higher evaluation for that segment
Squid is rated under DC 5025 Fibromyalgia for the old 40% protected rating. That’s maxed out using that code. They don’t go any higher. I wonder if that’s a coincidence. That means they effectively condemned him 20 or more years ago to a dead end rating. He could ask for increases for the rest of his life if he did have it and they would never give him more. I’m willing to bet nobody at the vA gave him a briefing on that in 88. A grateful Nation thanks he who shall have borne the battle…
http://www.law.cornell.edu/cfr/text/38/4/71a
5025 Fibromyalgia (fibrositis, primary fibromyalgia syndrome)
With widespread musculoskeletal pain and tender points, with or without associated fatigue, sleep disturbance, stiffness, paresthesias, headache, irritable bowel symptoms, depression, anxiety, or Raynaud’s-like symptoms:
>That are constant, or nearly so, and refractory to therapy—40
>That are episodic, with exacerbations often precipitated by environmental or emotional stress or by overexertion, but that are present more than one-third of the time——-30
>That require continuous medication for control———–10
Note: Widespread pain means pain in both the left and right sides of the body, that is both above and below the waist, and that affects both the axial skeleton (i.e., cervical spine, anterior chest, thoracic spine, or low back) and the extremities
This comes from DC 5235-5243 and seems to be the exact same wording verbatim for Squid’s degenerative cervical disc disease-wait! It is:
Forward flexion of the thoracolumbar spine greater than 30 degrees but not greater than 60 degrees; or, forward flexion of the cervical spine greater than 15 degrees but not greater than 30 degrees; or, the combined range of motion of the thoracolumbar spine not greater than 120 degrees; or, the combined range of motion of the cervical spine not greater than 170 degrees; or, muscle spasm or guarding severe enough to result in an abnormal gait or abnormal spinal contour such as scoliosis, reversed lordosis, or abnormal kyphosis——————-20
What vA has once again failed to do is inform Squid that this is another Monopoly®-style, Shortline Railroad to nowhere. Look at the next higher (and last) rating for this DC:
Forward flexion of the cervical spine 15 degrees or less; or, favorable ankylosis of the entire cervical spine—————————30
That’s following the Fibromyalgia DC. These examiners are so lazy they’re letting the M-21 do this. In fact, all these ratings are on the same table-DC 4.71.
In sum, Squidly stands a good chance of maxing out at 40(protected and max) 3o for the root (max)and 60 (max)for the cervical disc deal. He could get IU but he’ll never see 100% for it. Oddly, there is no discussion of these limitations. You, like me and Squid, are left to search Part 4 and see if we can adduce what it is they are ouijing with.
vA has adroitly compartmentalized this one and I’m betting they think old Squidly isn’t going to cotton to it. Twenty years ago I would have believed they were bending over backwards for him. Now I can see through the scam.
If it looks too good to be true, it is. Fortunately for the Squidster, he has one of my famous Claims Flow Computers (the CFC 360© Windows 7) with onboard GPS navigation https://asknod.wordpress.com/2012/02/12/cfc-360-c-by-noodledude/ so he knows exactly where his claim is heading. With all this info, it’s not likely he’ll get hornswoggled or Shanghai’d. His new NOD is going to drip sure knowledge of what he’s doing. This will send a chill up vA’s spine.
With the internet, this just isn’t fun for the raters anymore. We can see what they’re doing. There’s no Wizard of Oz moment. Toto ate the curtain. 38 CFR is available to every Tom, Dick and Harry that comes along. If you enjoy really boring fare, I suppose I could give you the link to M-21, but its written like the tax code. You need a computer to assimilate the data. That’s why the raters are in error 85% of the time.
Here’s Squid’s rating – one of many to come. This is round one. I feel sorry for them. They have no idea who they’re dealing with. Squidly can take these guys to the cleaners with one hand tied behind his back.
Even though this part is a back claim, it shows the RO methodology. A HCV claim is no different when it comes to how they think/act.




“How they think and act…”
They do what they’re told. Maybe they are afraid.
With regard to HCV, I think SC claims will be granted if the DoD will answer a few questions such as:
What are the sources of biological information for the 1997 withdrawal of
AUTOMATIC JET HYPODERMIC INJECTION UNITS? http://usamma.detrick.army.mil/ftp/mmqc_messages/Q971169.txt
How many units of blood did the military use in the last 60 years?
What is the statistical association between blood-borne pathogen transmission and military service
for each year from 1900 until the present?
_______________________
We rented Contagion on DVD (from a Redbox) this weekend. It got me thinking about how different the reaction at CDC would be to HCV if it replicated and killed people in 3 weeks instead of 3 decades.
We lost when they decided that HIV was more politically beneficial to be the Poster child over HCV. Congress let it die and that’s why vA thinks they can bury this on page 12. The disease isn’t going away but we have no National voice because we’re drug addicts, coke heads and unclean. HIV was marginalized until gays became “cool”. Vets w/HCV will never be front page news. Just look at the sheer numbers filing for it who have “negative events”. That says it all. The stigma will always attach to us.