What could be worse than a D&C? Why, a DDC. Imagine going to the VA dental clinic in Anywheresville, America and trusting these chuckleheads to observe normal sanitary protocols in this day and age. It would be not only expected, but highly unusual for anyone to be unaware of the consequences of unsterile behaviour. What, then, to make of Gomer here, who decides these rules don’t apply to him/her and endanger everyone’s health?
The VA, in its denials, regularly uses the presumption of sanitary protocol when telling us there is no way, in this day and age, that Vets are going to pick up HCV from any VAMCs. Sorry, Charlie. You must have gotten it from the toilet seat at McFlugald’s. We don’t carry that flavor/color here. They are borrowing a page from the Court which has held that the presumption of regularity is invoked any time they mail something to us. Yep. We got it if they mailed it. No CM,RRR needed. Of course, the obverse isn’t the case. Which is why we have to have proof we mailed it. That says a lot about what the VA thinks of our honesty, but I won’t go there today.
Similarly, everything VA owns and uses, including their endoscopes are safe sanitary and above reproach… until they’re not. Hence we have pesky little outbreaks of HVC, HBV and other bugs at the hospitals touted as being the best. While I’m sure you can point to the outbreak in New Jersey as not being VA, one would be advised to take heed of the fact that New Jersey doesn’t seem to be in the limelight for medical malfeasance as frequently as the the VA. VA is like The Truman Show-on 24 hours a day.
We can sue the VA if we discover they have given us one of these things within 2 years of the date of the medical “mishap”. That assumes we find out about it in that narrow window and act on it. Here’s the form:
If you should attempt this, be prepared for a rude awakening. First of all, you will be hardpressed to find a law firm, let alone an attorney, willing to set out on this journey. It occurs before a Federal Judge acting as judge and jury so a sympathetic jury is right out. Add to this the fact that even if you prevailed, the Judge might only award you 500 to 750 thousand dollars. Do the math. Preparing for, finding and paying an expert medical witness-$20-30K. Attorney fees?40% plus that doctor/witness. Attorney outlays for collating and preparing for trial? Priceless- literally. The settlement ends up being a crap shoot for the amount of time invested and the take for the attorney. Most won’t touch it unless its a cut and dried wrongful death suit. Settlement value? A mil+ if you’re lucky, less the costs.
The only avenue of help is the VA. You cannot sue them in the proper sense as above and win, but you can exact a tribute from them in the form of a VA claim for their stupidity. This is the 38 USC §1151 statute. If you can prove they screwed up, you get a rating- maybe a big one depending on the Diagnostic Code. This is just barely better than nothing. A big 100% one at $2800.00 a month sucks if you’ll pardon my French. No thank you. I’ll take my health please. Keep your paltry welfare. $33,876.00 a year doesn’t even cover my annual mortgage payment and the essentials of life. Throwing shitty medical and dental care in on top is a bit much.
This brings me to Dayton, Ohio. Polish your spectacles and take a gander at this. What you are going to read is what never happens, but somehow did. One of our old, eagle-eyed members, Sylvia, managed to get the mustard off the hotdog and send it to me. Wait. I’m not implying Sylvia is old old, okay? I haven’t a clue how she did this, but publish it in hopes that others who either had the misfortune to go to the Dayton VAMC DC or know of friends who did, will pass this on. She has the other 44 pages that go with it. I can get that in a zip file and pass it on to any who got the DDS (Dayton Dental Sweepstakes). It makes me sick to think anyone would treat people with this no deposit, no return attitude- let alone Vets. But then, look at the ones who come to VA to “practice”. Without casting aspersions, did you know you could lose your licence to practice in Texas, California and Nevada like Dr. Conrad Murray has (the guy who gave Michael Jackson the Propofol sendoff), and still come to work for VA. Scary? Well, he has to do the 4 years first, so it’s not like you’ll be seeing him right away. California may be the land of the fruits, the nuts and the raisins, but they do incarcerate the bad guys for a little while so you probably won’t see him at the Oakland VAMC for at least two years.





Sent at: Mon Mar 14, 2011 1:18 am
Ian Blenkharn wrote:
Thanks for the documents that you emailed.
Unless I’m missing something the conclusions make it quite clear, despite suggestions of an incomplete, flawed and frequently obstructed investigation, that conditions were far below the required standards of hygiene and safety and there was a repeated risk of BBV transmission to multiple patients over a long period of time.
It seems the conclusions can be summaraised to confirm:
1 substandard dental treatment by the DIQ – so I see a need for dental review to make certain that patients received the appropriate dental treatment etc and do not now need further dental care.
2 inadequate supervision of trainees (dentists and assistants) – need to review care of patients treated by those inadequately trained and unsupervised dentists and assistants
3 evidence of persistant and severe hygiene failures creating opportunity for contamination of dental equipment that is intended to be sterilised between patients – ie. risk of transmission
4 no convincing evidence of reuse of needles – but no indication of the degree of certainty/reliability of that evidence, and evidence of hygiene failure in 3 above does suggest opportunity form BBV transmission
5 management failures, lying, intimidation etc – this just reinforces the degree of concern, and must now cast doubt on the accuracy of information in 4 above
6 I get a hint that the authors have concluded that during dentistry, needle errors during local anaesthetic administration are the primary or possibly the sole route for BBV transmission. This seems flawed.
In 6, I have many concerns now about the technical competence of the investigators! Dentral needles are incredibly fine. The possibility for blood vessel penetration is negligible and in all probability the risk of blood contamination and injection into the tissues of a subsequent patient is perhaps small. I would me more concerned, as I mentionned previously, of the risk of contamination of burrs and suction lines, drill bits and holders etc, since I believe that these could provide an effective vehicle for transmission of BBV.
The few pages you sent to me seem to be rather poorly presented. If there are a prior 38 pages of text, I am very surprised that the Conclusions are so brief. I think a good legal advocate of a competent microbiologist (!) could drive a cart and horses through thsi document, to suggest that there was a high probability of risk for a high proportion of patients, by their own admission over a long period of time.
Of course, it would be a brave move to accept that all patients are recalled for dental assessment and blood tests. Some will need further dental treatment, and some may have evidence of BBV infection. This leads to a complex legal battle to argue the likely cause of current dental problems and route(s) of infection. Compensation claims will be flying back and forth, and in many ways it is understandable that those now responsible will be reluctant to open the gates to so many claims.
I suspect you need a critical review of the full report and of any supplementary evidence collected during investigation – under UK law you should be able to get access to those additional data through standard legal processes and I’m sure thatthere will be an equivalent process under US law. If I were doing that, I would probably be critical of the dentist and colleagues – obviously – and probably of the investigation/investigators. I would be minded to compare standards of performance against those set by ADA or equivalent, and with CDC Standard Precautions etc.
Good luck
Ian
What was the end result? They got bonuses. The chief got transfered, the dentist retired and the whistle blowers no longer work there. So if I “overreacted to nothing” you can bet I’ll do it again. I’m hard headed
Dear Tom:
I always take responsibility for my stories and since this one is one of my favorites, I’d be happy to answer.
We also noticed that exposures that happened in VA facilities were not included in the CDC’s report so we asked them why. Dr Nicola D.Thompson from the Epidemiology and Surveillance Branch, Division of Viral Hepatitis said….
“For the purposes of this review, we only counted outbreaks of HBV and HCV infection that involved 2 or more infected persons and that could be EPIDEMIOLOGICALLY linked to a specific health care facility”
In other words, the CDC only counts the outbreaks if phylogenetic analysis proves that the virus from two or more patients are genetically identical and they can somehow be linked to the clinic. Like if a staff member also has Hepatitis C and the virus is identical to theirs. Phylogenetic testing is very expensive and is usually done only in studies
But just in case a government numbskull overreacts to nothing and starts counting vet cases, they have instituted a second rule. Exposures that happen in federal facilities (like VA clinics and prisons), don’t have to be included. Federal facilities make their own rules. .
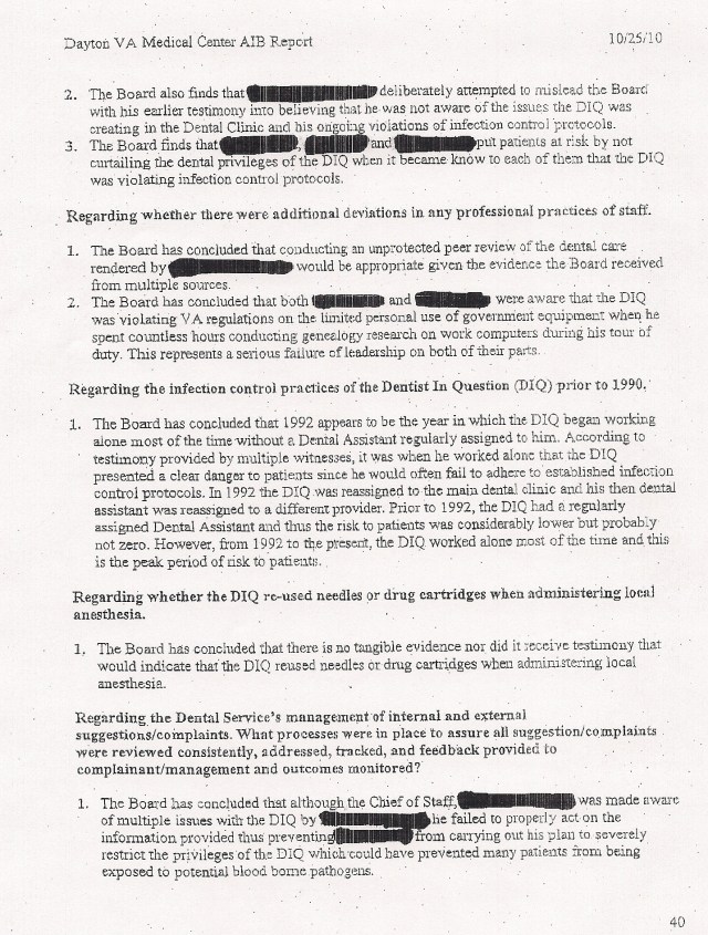
The 42 page report of the investigation done by the VA says that “repeated violations to infection control guidelines resulted in MASSIVE EXPOSURE of veterans to potential blood born pathogens.” (during fiscal year 2010 the Dayton dental clinic saw 3,142 veterans and had 11,400 visits….multiplied by 18 years of exposure ).
For 18 years, not only did the dentist expose veterans by violating infection control guidelines by reusing dirty instruments and not changing gloves between patients. He also pulled teeth out that didn’t need pulling, left decay in before filling cavities, didn’t smooth the edges of the fillings so it caused gum damage and vets ended up needing oral surgery because of it.
They also let dental residents practice on veterans without supervision like is required by law. The dentists took credit for the visits (so they could charge for them) and they wrote the notes on the charts without seeing the patients or discussing the cases with the residents.
THOSE notes were the ones the VA “reviewed” so they could determine who needed to be tested for Hepatitis B, Hepatitis C and HIV. Based on those notes they decided that only 535 veterans needed to be tested because they were the only ones in a period of 18 years that had “invasive procedures”, By “invasive procedures” they meant tooth extractions, even though that’s not the only thing that can cause bleeding…
The Missouri clinic exposed vets for 5 years by using improperly cleaned instruments and they tested 1,812 veterans. The Dayton clinic not only used dirty instruments but also dirty gloves for 18 years and they tested only 535.
Your assumption that the veterans who tested positive for Hep C, Hep B and HIV brought these conditions INTO the dental clinic is incorrect. Without phylogenetic testing you can’t tell if they already had it or they got it at the clinic. In an interview, Rep Mike Turner said, “The hospital said it can’t determine the source of the infections”..
Almost 200 of the doctors and nurses I work with as well as Ian Blenkharn, a microbiologist with 30 years of experience with the NHS and UK universities and an expert witness for the UK’s High Court signed the letter I sent asking that all the veterans seen at the Dayton clinic be offered testing for Hep B, C and HIV. Because as Mr Blenkharn said, “The CDC’s guidelines as well as OSHA guidelines were created to protect ALL patients and should be applied at ALL times and not just on a selective basis. Since all of those rules and regulations require a uniform standard of hygiene performance, exemplified in the CDC’s Universal and Standard Precautions, then it becomes hard to argue that somehow the universality of protection in this case might be downgraded to be in some way conditional and only include 535 people of the thousands exposed.”
The CDC recently published a report a report about the 35 known outbreaks of Hepatitis that have occurs in health care facilities between 2008 and 2012 . Guess what idiot, the Dayton VA dental clinic is not on the list. The number of patients you quote as having Hep B & C, brought these conditions INTO the dental clinic and did not contract them from their dental care. Obviously this whole episode is another example of government and numbskull overreaction to nothing. If you really care about your readers, why do’nt you set the record straight!!!
Thank you for your input, Tom. Obviously you are more on top of this than any of us. I apologize for not monitoring this night and day. In my world, I deal with VA’s sanitary ineptness as reported by fellow Veterans or major news sources on a fairly regular basis. They are not as observant as you or fail to report back when a particular issue develops new information. Since the VA’s Hepatitis C laundry list is so long and has new additions (and casualties) monthly, I could see the possibility that we have been remiss in updating our files. This particular article is over two years old, so, being the head idiot, I accept full responsibility for failing to keep it current and updated.